丢掉的蟹虾壳 未来有望用作抗癌药
作者:admin发布时间:2019-07-08
说起螃蟹和龙虾,想必广大吃货们一定不会陌生。醉蟹、麻辣小龙虾、清蒸
阳澄湖大闸蟹……光听名字就足以让人垂涎三尺。美味的蟹肉、虾肉可以满足我们的味蕾,但如果说被丢掉的蟹壳虾壳未来有可能被用来生产抗癌药物造福癌症患者,听起来是不是很神奇呢?
那么问题来了,我们吃剩下的螃蟹壳和龙虾壳究竟和抗癌药物究竟有什么神奇的联系呢?

为解决成吨的蟹虾壳 人们将它废物利用
据2015年数据统计,全球每年都会产生6百万吨到8百万吨的螃蟹壳、虾壳和龙虾壳废物。以螃蟹为例,我们吃的螃蟹肉,只占了全部质量的40%,因此全球吃货们在享受美食的同时产生了大量的甲壳类废弃物。
在发展中国家,这些壳废物的处理方法主要是陆地填埋和大海填埋。在发达国家,这些废弃物的处理主要是以加工成建筑材料为主,但需要耗费大量资金。据澳大利亚数据统计,处理每吨壳废物需要150美元,大约是澳大利亚4-5人日均消费总和。
这些被遗弃的甲壳类废弃物主要由蛋白质、碳酸钙和甲壳素组成。其中蛋白质可以被用来制作动物饲料,碳酸钙可以被广泛应用在医疗、建筑和造纸等领域,而甲壳素含有大量的氮元素,因此在合成制备各种精细化学品和药物中间体等方面具有重大的应用前景。
用甲壳素制成的含氮化学品即经济又环保
甲壳素,是一种含量丰富的氨基酸生物高分子,是仅次于纤维素的全球第二大生物高分子材料,主要存在于甲壳纲的生物的外骨骼中。
甲壳素由大量含氮的六元环结构组成,科学家发现这一结构和许多药物中间体的结构类似,于是就有了一种大胆猜想,能不能利用甲壳素合成药物,尤其是抗癌药呢?
甲壳素可制备的精细化学品(Chitin the most abundant amino biopolymer:甲壳素是含量最丰富的氨基酸生物高聚物;Nitrogen-containing chemicals: 含氮化学品)(图片来源:作者提供)
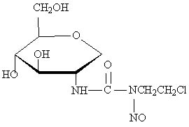
以抗癌药氯脲霉素为例,氯脲霉素系葡萄糖取代的氯乙基亚硝基脲类化合物,其不仅具有亚硝基脲类化合物的抗癌活性,同时又具有抑制骨髓毒性较小的特点,对黑色毒素、结肠癌、肺癌、肾癌、何杰金氏病等疾病有一定疗效。
氯脲霉素结构与甲壳素单体结构相似,为通过甲壳素合成氯脲霉素提供了可能。
氯脲霉素化学结构式(图片来源:作者提供)
许多药物或者重要化学品均含有氮元素,这些化学品主要是从许多复杂的化学反应过程制备而来,其中最重要的原料氨气,需要在高温高压下制备,不仅浪费了大量能源而且还产生了大量的污染废物。
而以甲壳素为原料制备含氮的化学品不仅能节省成本还生态环保,原料就来自“源源不断”的蟹虾壳中,更重要的是,还可以通过发展该生产路线,丰富扩大现有的化工行业。
环保高效地提取甲壳素是摆在科学家面前的难题
但目前为止,甲壳素提取主要包括化学法、酶解法和微生物发酵法等。
化学法操作简单效率高,但是会消耗大量酸碱,不仅产生大量酸碱废液,还难以回收蛋白质、钙和虾青素等有效成分,既浪费资源也污染环境。
酶解法虽然解决了化学法的弊端,但制备耗时长,脱蛋白的效果没有化学法好,而且商业化酶较贵,成本更高。
微生物发酵法主要采用一些细菌和真菌发酵体产生的有机酸或蛋白酶来去除蛋白质和钙盐,从而达到提取甲壳素的目的。但是该方法成本也很高,不适合工业化大批量生产。
难道就没有一种提取甲壳素的方法既经济又环保吗?
目前研究学者在不断开发新的绿色环保高效的提取工艺,包括乙二胺四乙酸法和热甘油预处理法等。
甲壳素未来有望用于抗癌药制备
以甲壳素为原料,科学家已经实现了许多含氮药物中间体的合成制备,除了氯脲霉素外,还有吡啶、吡咯、吡嗪等。这些产物被广泛应用在有机合成、医药、农药等领域。
尤其是在医药领域,吡咯类药物是一种未来寻找抗艾滋病药物的重要方向。吡嗪的衍生物吩嗪以具有抗肿瘤,抗菌和利尿的性质而著称。
以吡咯类抗癌药为例,吡咯衍生物吡咯烷与卟啉一起作用富集于癌细胞中,从而局部高浓度地发挥其特有的抗癌活性;另外,作为光敏剂,还可以在光动力作用下产生活性氧,使氨基酸侧链被氧化,导致蛋白质的氧化断裂变质,最终使癌细胞丧失自我调节能力而凋亡。
以甲壳素为原料制备抗癌药,这种新路线不仅可以实现从甲壳素到目标产物的一步法合成,还能通过缩减反应路线,降低能耗和污染。最终实现资源的高值化利用。
扔掉的壳比吃下的肉还多,这是吃货们最无法忍受的。不过反过来想想,丢弃的蟹壳虾壳能造福人类,是不是心里瞬间好受多了?
参考文献:
[1] Yan, Ning, and Xi Chen. "Sustainability: Don't waste seafood waste." Nature News,524.7564 (2015): 155.
[2] Gao, Xiaoyun, et al. "Transformation of chitin and waste shrimp shells into acetic acid and pyrrole." ACS Sustainable Chemistry & Engineering, 4.7 (2016): 3912-3920.
[3] Chen, Xi, et al. "Direct conversion of chitin into a N-containing furan derivative." Green Chemistry, 16.4 (2014): 2204-2212.
[4] Chen, Xi, and Ning Yan. "Novel catalytic systems to convert chitin and lignin into valuable chemicals." Catalysis Surveys from Asia, 18.4 (2014): 164-176.
[5] 仝建波, et al. "三维全息原子场作用矢量用于吡咯类抗艾滋病药物QSAR研究." 分析科学学报, 24.3(2008):275-279.
[6] 顾觉奋, 戴垚. "苯并二吡咯类抗肿瘤抗生素的研究进展." 国外医药:抗生素分册, 23.5(2002):221-224.
[7] Gantchev T. G., Lier J. E. Photochem. Photobiol [J], 1995, 62:123-134.
[8]孙翔宇,魏琦峰,任秀莲.虾、蟹壳中甲壳素/壳聚糖提取工艺及应用研究进展[J],食品研究与开发, 39.22(2018):214-219.
“科普中国”是中国科协携同社会各方利用信息化手段开展科学传播的科学权威品牌。
本文由科普中国融合创作出品,转载请注明出处。